In modern laboratories, precision and efficiency are critical. Whether in chemical analysis, food inspection, or pharmaceutical research, manual titration often becomes a time-consuming process prone to human error. The Automatic Titrator provides a breakthrough solution, simplifying complex titration workflows while ensuring repeatable accuracy and compliance with laboratory standards.
Among the latest innovations, the Zhuoguang GT60 Automatic Potential Titrator stands out as a high-precision system that automates traditional titration experiments such as sodium chloride concentration and sodium hydroxide content determination. With features like acid- and alkali-resistant PTFE construction, high-precision closed-loop control, and automatic data processing, it represents a new generation of intelligent titration instruments.
An Automatic Potential Titrator is an analytical instrument that measures the concentration of a solution by automatically adding titrant until a defined electrical potential or pH endpoint is reached. Unlike manual titration, it eliminates subjective judgment, delivering precise results with minimal human intervention.
The Zhuoguang GT60 uses a high-precision burette with 1 μL resolution, supported by closed-loop control technology to ensure accurate dispensing at every step. Its PTFE titration pipelines and rotary valves provide exceptional resistance to acid, alkali, and corrosion—ideal for various chemical environments.
It supports multiple titration methods, including acid-base titration, redox titration, precipitation titration, complexation, and non-aqueous titration. The system also complies with GMP, GLP, and FDA specifications, making it suitable for laboratories with strict quality management standards.
| Feature | Description |
|---|---|
| Automatic Operation | Supports automated sample loading, pipeline cleaning, result calculation, and real-time titration curve generation. |
| High Precision | 1 μL titration resolution with closed-loop control ensures stability and repeatability. |
| Corrosion Resistance | PTFE burette and valve withstand strong acids and alkalis. |
| Data Management | Equipped with multi-level user rights, audit tracking, and electronic signatures in compliance with GMP and GLP. |
| Compatibility | Supports different electrodes (pH, silver ion, polarized), adaptable to aqueous and non-aqueous systems. |
| Smart Control | Power-on self-check, formula editing, automatic result computation, and real-time curve display. |
These design elements allow Zhuoguang’s Automatic Titrator to streamline experiments that traditionally require extensive manual attention—such as chloride or hydroxide concentration tests—making it a powerful tool in laboratory automation.

Objective: Determine the concentration of sodium chloride in a saline solution using the GT60 Automatic Potential Titrator.
Reference Standard: GB/T 13025.5–2012
Pipette 0.15 mL of the saline sample into the titration cup.
Add 50 mL of pure water.
Use a silver ion composite electrode as the working electrode.
Titrate with 0.1000 mol/L silver nitrate standard solution using dynamic titration mode.
Instrument Parameters:
Burette volume: 10 mL
Electrode equilibrium potential: 0.8 mV
Titration speed: standard
Stirring speed: 4
Preset endpoint jump: 500 mV
Calculation Formula:
NaCl concentration = (V₁ − V₀) × C₀ × 58.44 / M₀
| Sample ID | Sample Volume (mL) | Endpoint Volume (mL) | NaCl Concentration (g/L) |
|---|---|---|---|
| Saline-001 | 0.15 | 7.5713 | 294.98 |
| Saline-002 | 0.15 | 7.5446 | 293.94 |
| Saline-003 | 0.15 | 7.5697 | 294.92 |
| Average | 294.61 g/L |
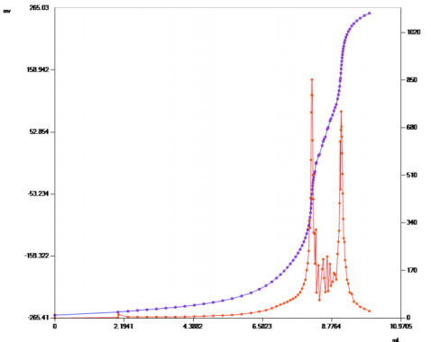
The titration curve generated by the Zhuoguang GT60 Automatic Potential Titrator shows a clear potential jump, enabling precise endpoint recognition. The consistency of the three parallel samples demonstrates the system’s repeatability and measurement stability, with relative deviation below 0.2%.
Such performance meets the requirements of GB/T 13025.5–2012, proving the reliability of Automatic Titrator systems in high-salinity solution analysis.




Objective: Measure NaOH content in an alkaline solution.
Reference Standard: GB/T 4348.1–2013
Accurately weigh approximately 0.1 g of the alkali sample into the titration cup.
Add 50 mL of pure water.
Use a pH composite electrode as the working electrode.
Titrate with 0.1000 mol/L hydrochloric acid standard solution.
Instrument Parameters:
Burette volume: 10 mL
Titration type: dynamic
Stirring speed: 5
Endpoint jump: 2000 mV
Calculation Formula:
NaOH% = (V₁ − V₀) × C₀ × 40.00 / (10 × M₀)
| Sample ID | Sample Weight (g) | Endpoint Volume (mL) | NaOH Content (%) |
|---|---|---|---|
| Alkali-001 | 0.1166 | 9.077 | 31.14 |
| Alkali-002 | 0.0938 | 7.289 | 31.08 |
| Alkali-003 | 0.1029 | 8.0446 | 31.27 |
| Average | 31.16% |
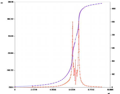
With dynamic titration mode and real-time pH tracking, the Automatic Titrator ensures the reaction endpoint is detected precisely. The measurement results show excellent consistency, verifying the high precision of Zhuoguang’s control system.
The entire titration—from sample addition to data display—was completed automatically, significantly reducing operator workload and potential error sources.



Comprehensive Automation — Supports automatic sample handling, titration, cleaning, and curve drawing.
High Corrosion Resistance — Entire pipeline and valve system built from imported PTFE materials, ideal for acidic or alkaline solutions.
Regulatory Compliance — Meets GMP, GLP, and FDA standards with audit trail and user rights management.
Versatile Applications — Performs acid-base, redox, complexation, and precipitation titrations.
Data Intelligence — 300G storage, real-time display, automatic result calculation, and USB/Ethernet connectivity.
The Zhuoguang GT60 Automatic Potential Titrator offers a complete laboratory solution that integrates precision, automation, and compliance.
It can also work seamlessly with rotary automatic samplers (16–40 positions) for high-throughput analysis, supporting mass sample testing environments.
Q1: What types of titration can the Zhuoguang Automatic Titrator perform?
It supports acid-base, redox, precipitation, complexation, and non-aqueous titration modes.
Q2: Is the GT60 suitable for corrosive samples?
Yes. The entire fluid system uses PTFE components, resistant to strong acids, alkalis, and solvents.
Q3: Can it store and export experimental data?
The system has large internal storage (over 10,000 methods) and supports USB or Ethernet data export.
Q4: How does the titrator ensure accuracy?
Through closed-loop control and 1 μL titration resolution, guaranteeing precise liquid addition and stable endpoint recognition.
Q5: Does it comply with laboratory standards?
Yes. The Zhuoguang Automatic Titrator meets GMP, GLP, and FDA requirements, ensuring data integrity and traceability.
The Zhuoguang GT60 Automatic Potential Titrator simplifies laboratory operations, offering automated accuracy for complex chemical analyses such as sodium chloride concentration and sodium hydroxide content tests.
Its intelligent control, corrosion-resistant structure, and regulatory compliance make it an ideal choice for laboratories in pharmaceuticals, food analysis, petrochemicals, and research institutions.
Contact Zhuoguang to learn more about how the Automatic Titrator can make your lab work faster, easier, and more precise.